電容器原理
在生產及生活實踐中,科學家們發現,凡是被絕緣隔開的兩個導體之間加以電壓時,則接在高電位的導體就能容納正電荷,接在低電位的導體能容納負電荷。由此可見,上述導體和絕緣所構成的整體有容納電荷的能力,這種能力叫做電容。而這個整體就叫做電容器。
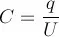
電容計算公式
實踐證明:任一電容器容納電荷的情況和一個籃球容納氣體的情況類似。籃球大氣的氣壓越大,則容納的氣體越多;電容器所加的電壓越大,則容納的電荷也越多。這樣一來,要衡量它容納電荷的本領,就必須在同一電壓下來衡量,單位電壓下所能容納電荷的多少叫電容,用C表示,單位法拉:

上公式中q是電容器在外加電壓U時所容納的電荷量。
實際使用中常見的電容器的容量在其被制造出來時都有表明,電容器元件表面的數字或者色環就包含了容量信息。1法拉等于1庫侖每伏特,即電容為1法拉的電容器,在正常操作范圍內,每增加1伏特的電勢差可以多儲存1庫侖的電荷。
電容單位換算
電容的容量單位是法拉(用字母F表示),但是在實際應用上,法拉這一單位太大了。往往使用最多的是微法(uF)或皮法(PF)。
1F=1000,000微法=106微法(uF)
1uF=1000,000皮法=106皮法(PF)
電容的大小與電容器的幾何尺寸和介質的性質有關。除了電容器有電容外,在實際中,電氣設備、線路與部件都具有自然形成的電容。如較長的輸電線之間,較長的電纜都具有電容。
返回列表